搜索关键字:
   
首页>>产品中心>>维格列汀

维格列汀

274901-16-5


(2S)-N-氯乙酰基-2-氰基四氢吡咯

207557-35-5


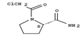
S)-1-(2-氯乙酰基)吡咯烷-2-羧酰胺

214398-99-9


上一页:利格列汀
[返回]
关于蔚蓝
公司简介
企业文化
公司资质
员工风采
组织架构
新闻中心
公司新闻
行业新闻
媒体报道
产品展示
总代理原料药
医药中间体
关联审评品种及中间体
原研参比制剂
招商加盟
行业标准
质量体系认证
联系我们
珠海蔚蓝医药有限公司
地址:珠海市香洲区香工路18号B2区40栋401室
电话:0756-3326819 / 3221531
传真:0756-3326816
E-MAIL:sales@vitalpharms.com

《药品经营许可证》 证号:粤AA756000446

版权所有©珠海蔚蓝医药有限公司         互联网药品信息服务资格证书:(粤)-非经营性-2023-0028     粤ICP备10097759号        策划设计:星动网络